投資信託!みんなの株式から株価指数をスクレイピングする
みんなの株式とは?
みんなの株式」は、日本の株式市場において、個人投資家向けに提供されるオンライン株式取引プラットフォームや証券会社の一つです。個人投資家が日本国内および国際的な株式市場で株式や金融商品を取引できるオンラインプラットフォームを提供しています。ユーザーは自分のアカウントから株式取引を行うことができます。 市場データ、リサーチレポート、経済指標などの投資情報を提供しており、ユーザーの投資判断をサポートします。
スクレイピングツールの概要
ScrapeStormとは、強い機能を持つ、プログラミングが必要なく、使いやすい人工知能Webスクレイピングツールです。違う基盤のユーザーに二つのスクレイピングモードを提供し、1-Clickで99%のWebスクレイピングを満たします。ScrapeStormにより、大量のWebデータを素早く正確的に取得できます。手動でデータ抽出が直面するさまざまな問題を完全に解決し、情報取得のコストを削減し、作業効率を向上させます。
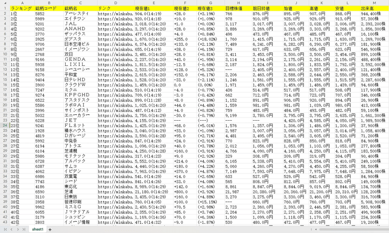
抽出されたデータをご覧ください。

1.タスクを新規作成する
(1)URLをコピーする
今回は買い予想数上昇ランキングページのスクレイピング方法を紹介します。まず、URLをコピーしてください。

(2)スマートモードタスクを新規作成する
ScrapeStormのホムページ画面にスマートモードタスクを新規作成します。また、持っているタスクをインポートすることもできます。
詳細には下記のチュートリアルをご参照ください。
スマートモードタスクの新規作成方法

2.タスクを構成する
(1)ページボタン
ScrapeStormは自動的にリスト要素とページボタンを識別できます。もし識別誤差が発生する時、手動で選択してください。下記のチュートリアルも参照してください。
リストページのスクレイピング方法
ページ分けの設定方法


(2)詳細ページに行く
前日終値、安値、高値、出来高などの詳細情報は詳細ページに付いていますから、ソフトウェアの「詳細ページに行く」機能を利用して、データを抽出します。

(3)フィールドの追加と編集
「フィールドを追加」ボタンをクリックして、画面に必要な要素を選択、データが自動的に抽出されます。また、必要に応じてフィールドの名前の変更または削除、結合できます。
フィールドの設定の詳細には下記のチュートリアルをご参照ください。
抽出されたフィールドを配置する方法

3.タスクの設定と起動
(1)起動の設定
必要に応じて、スケジュール、アンチブロック、自動エクスポート、写真のダウンロード、スピードブーストを設定できます。サーバーに負荷しないように、遅延時間を設定してください。5秒以上を推薦します。スクレイピングタスクを配置する方法については、下記のチュートリアルをご参照ください。
スクレイピングタスクを配置する方法

(2)しばらくすると、データがスクレイピングされる。

4.抽出されたデータのエクスポートと表示
(1)エクスポートをクリックして、データをダウンロードする

(2)必要に応じてエクスポートする形式を選択します。
ScrapeStormは、Excel、csv、html、txt、データベース、ローカルなどさまざまなエクスポート方法を提供します。抽出結果のエクスポート方法の詳細には下記のチュートリアルをご参照ください。
抽出されたデータのエクスポート方法


コメント
コメントを投稿