医薬品・薬局!みんなのお薬箱から薬品の情報をスクレイピングする
みんなのお薬箱とは?
「みんなのお薬箱」は、日本の健康管理や薬の情報提供を目的としたウェブサイトやアプリの一つです。このサービスでは、健康管理や薬に関する情報を提供し、ユーザーが自身や家族の健康を管理するためのサポートを提供しています。ユーザーは健康情報や体調の記録を行い、健康状態を把握することができます。これにより、医師や薬剤師とのコミュニケーションに役立つ情報を整理できます。
スクレイピングツールの概要
ScrapeStormとは、強い機能を持つ、プログラミングが必要なく、使いやすい人工知能Webスクレイピングツールです。違う基盤のユーザーに二つのスクレイピングモードを提供し、1-Clickで99%のWebスクレイピングを満たします。ScrapeStormにより、大量のWebデータを素早く正確的に取得できます。手動でデータ抽出が直面するさまざまな問題を完全に解決し、情報取得のコストを削減し、作業効率を向上させます。
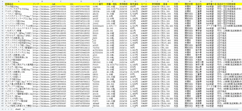
抽出されたデータは下記のようにご覧ください

1.タスクを新規作成する
(1)URLをコピーする
今回はみんくすの価格が下がった商品一覧ページを例として、そのスクレイピング方法を紹介します。まず、URLをコピーしてください。

(2)スマートモードタスクを新規作成する
ScrapeStormのホムページ画面にスマートモードタスクを新規作成します。また、持っているタスクをインポートすることもできます。
詳細には下記のチュートリアルをご参照ください。
スマートモードタスクの新規作成方法

2.タスクを構成する
(1)事前操作
みんなのお薬箱は医療機関限定のサイトですから、必ず事前操作機能を利用して、医療機関に選択してください。
事前操作と事前ログイン

(2)自動識別
ScrapeStormは自動的にリスト要素とページボタンを識別できます。今回は「スクロールローディング」に設定してください。下記のチュートリアルも参照してください。
ページ分けの設定方法

(3)詳細ページに行く
ソフトウェアの「詳細ページに行く」機能を利用し、数量、規格、使用期限などの情報を抽出します。

(4)フィールドの追加と編集
「フィールドを追加」ボタンをクリックして、画面に必要な要素を選択、データが自動的に抽出されます。また、必要に応じてフィールドの名前の変更または削除、結合できます。
フィールドの設定の詳細には下記のチュートリアルをご参照ください。
抽出されたフィールドを配置する方法

3.タスクの設定と起動
(1)起動の設定
必要に応じて、スケジュール、アンチブロック、自動エクスポート、写真のダウンロード、スピードブーストを設定できます。サーバーに負荷しないように、遅延時間を設定してください。5秒以上を推薦します。スクレイピングタスクを配置する方法については、下記のチュートリアルをご参照ください。
スクレイピングタスクを配置する方法

(2)しばらくすると、データがスクレイピングされる。

4.抽出されたデータのエクスポートと表示
(1)エクスポートをクリックして、データをダウンロードする

(2)必要に応じてエクスポートする形式を選択します。
ScrapeStormは、Excel、csv、html、txt、データベース、ローカルなどさまざまなエクスポート方法を提供します。抽出結果のエクスポート方法の詳細には下記のチュートリアルをご参照ください。
抽出されたデータのエクスポート方法

Demoタスク:
医薬品・薬局!みんなのお薬箱から薬品の情報をスクレイピングする.sst
https://drive.google.com/file/d/1D0DjjT9TVUmOqh09p0Oelxojsb7uI3yL/view?usp=sharing
注意:法律違反しないため、抽出されたデータを悪用禁止です!

コメント
コメントを投稿